按揭計算

程式參考了網友roviury意見進行修改。

更新日期: 2012年8月22日

程式用作計算按揭問題,假定利息每月計算及息率固定不變,程式可以計算以下問題:

˙每月供款Monthly instalments (已知貸款、年利率及還款期數(月為單位))。

˙貸款 Loan (已知每月供款、年利率及還款期數)

˙還款期數 (已知每月供款、貸款及年利率)

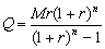
參考公式:

(Q為每月供款,M為貨款及 r 為每月利率 (即年利率÷12))

 

程式 (80 bytes)

ClrMemory: 1200→X: ?→A: ?→B: ?→C: ?→D:

(1 + C÷X)^( D→Y: A=0 => BCY ÷ (XY - X◢

D => AXC-1D-1(Y - 1◢ log( 1 + C÷X , AX ÷ (AX - BC

 

例題1: 貸款$100,0000,年利率為6%,貸款時間為360月,求每月還款額。

按 Prog 1 再按 EXE (不輸入數值代表計算每月還款額)

100 0000 EXE (貸款)

6 EXE (年利率)

360 EXE (還款期,顯示還款額為 $5995.51)

 

例題2: 一項貸款,每月還款額為$5995.51,年利率為6%,還款期數為360月求貸款額。

按 Prog 1 再按 5995.51 EXE

EXE (不輸入數值代表計算貸款)

6 EXE (年利率)

360EXE (還款期,顯示貸款額為 $100 0000)

計算完結按AC終止程式

 

例題3: 貸款$100,0000,年利率為6%,每月還款額為$5995.51,求還款期數。

按 Prog 1 再按 5995.51 EXE (每月還款額)

100 0000 EXE (貸款)

6 EXE (年利率)

EXE (不輸入數值代表計算還款期,顯示還款期為360月)

計算完結按AC終止程式

 

返回 CASIO fx-50FH、fx-3650P II、fx-50FH II及fx-50F PLUS 程式集